Vectores


¿Qué es un vector?

      Figura 1. Imagen de vectores. (Ney, 2020)
En física, se llama vector a un segmento de recta en el espacio que parte de un punto hacia otro, es decir, que tiene dirección y sentido. Los vectores en física tienen por función expresar las llamadas magnitudes vectoriales. (Significados, s.f.)

 Figura 2. Ejemplo de Vector. (Significados, s.f.)


Los vectores se representan gráficamente con una flecha. Asimismo, cuando deben ser expresados en una fórmula, se representan con una letra coronada por una flecha.
(Significados, s.f.)
A continuación, se encuentra un video explicativo en el cual se explica más a fondo la teoría de que son los vectores y sus características.

         Video1.¿Que es un vector?. (fisica,s.f.)      

Video 2. Características de un vector. (Candia, s.f.)

Características de los vectores

Los componentes de los vectores que definen sus características son los siguientes:

vectores

Figura 3. Componentes de un vector. (12Caracteristicas, s.f.)

  • Módulo o magnitud: se refiere a la longitud o amplitud del vector o segmento de recta.
  • Dirección: se refiere a la inclinación que posee el vector con respecto a un eje horizontal imaginario, con el cual forma un ángulo.
  • Sentido: se refiere a la orientación del vector, indicado por la cabeza de la flecha del vector. (Significados, s.f.)


Tipos de vectores
Figura 4. Tipos de Vectores. (Google, s.f.)

  • Vectores libres. Aquellos que no poseen un punto de aplicación particular.
  • Vectores deslizantes. Aquellos cuyo punto de aplicación puede ser uno cualquiera a lo largo de la recta de aplicación.
  • Vectores fijos o ligados. Aquellos que poseen un único y determinado punto de aplicación. (Etecé, 2022)

Magnitudes vectoriales
Las magnitudes vectoriales son aquellas magnitudes que, además de representarse con un número y una unidad, requieren también ser expresadas en el espacio con una dirección y un sentido, es decir, con un vector. Esto las distingue de las magnitudes escalares, las cuales solo requieren un número y una unidad. (Jimeno)
  • velocidad    * desplazamiento    *aceleración    *impulso
  • fuerza          *peso    *potencia   *campo eléctrico      *campo magnético
  • campo gravitatorio   *  energía térmica  * torque  * momentum

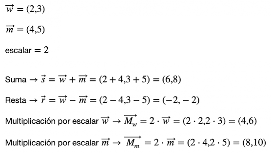
Operaciones entre Vectores








 

Figura 5.  Operaciones entre vectores (Quantum)
* Suma de Vectores
Para sumar dos o más vectores, tendremos que sumar las coordenadas de forma que coincida el eje para cada coordenada de los vectores. La primera coordenada corresponde al eje X y la segunda coordenada corresponde al eje Y. Entonces tendremos que operar las coordenadas que coincidan en eje. (Economipedia)
* Resta de vectores

Para restar dos o más vectores, tendremos que restar las coordenadas de forma que coincida el eje de cada coordenada de los vectores.

La primera coordenada corresponde al eje X y la segunda coordenada corresponde al eje Y. Entonces tendremos que operar las coordenadas que coincidan en eje. (Economipedia)




* Multiplicación por un escalar

La multiplicación de un vector por un número (escalar) se completa haciendo el producto de dicho número por las coordenadas del vector. El nuevo vector será la multiplicación del vector por el escalar o también puede definirse como un vector nuevo. (Economipedia)



(Operaciones con vectores - Qué es, s.f.)

Evaluaciones
Suma, resta y multiplica por un escalar los siguientes vectores:




  Bibliografía

12Caracteristicas. (s.f.). Obtenido de https://www.12caracteristicas.com/vector/

Candia, L. (s.f.). Youtube. Obtenido de https://www.youtube.com/watch?v=89GFRzLOwW8

Economipedia. (s.f.). Obtenido de https://economipedia.com/definiciones/operaciones-con-vectores.html#:~:text=Las%20operaciones%20matem%C3%A1ticas%20que%20pueden,la%20multiplicaci%C3%B3n%20por%20un%20n%C3%BAmero.

Etecé, E. (3 de 09 de 2022). Concepto. Obtenido de https://concepto.de/vector/#:~:text=acepciones%20de%20%E2%80%9Cvector%E2%80%9D-,%C2%BFQu%C3%A9%20es%20un%20vector%3F,elemento%20en%20un%20espacio%20vectorial.

fisica, D. (s.f.). Youtube. Obtenido de https://www.youtube.com/watch?v=YDf3lviM1TU&t=38s

Google. (s.f.). Obtenido de https://th.bing.com/th/id/R.f86ec007b08086b7e9475b73984d3da2?rik=c1kcnxSWml%2bTrQ&riu=http%3a%2f%2f3.bp.blogspot.com%2f-13D0VrdHwAY%2fT29ekm4EYNI%2fAAAAAAAAABw%2fPeKdYLNAVPs%2fs1600%2f3.%2bTipos%2bde%2bVectores%2b008.png&ehk=X%2fSBy3g5DZtKUdk3rxhw9LBiGZBl

Jimeno, D. (s.f.). ALEPH. Obtenido de https://aleph.org.mx/que-son-magnitudes-vectoriales-y-5-ejemplos

Ney. (27 de 04 de 2020). Física I – Concepto de vector y tipos de vectores. Obtenido de https://ney.one/fisica-concepto-de-vector-y-tipos-de-vectores/

Quantum. (s.f.). Obtenido de https://ejerciciosfisica.com/operaciones-con-vectores/

Significados. (s.f.). Obtenido de https://www.significados.com/vector/#:~:text=En%20f%C3%ADsica%2C%20se%20llama%20vector,expresar%20las%20llamadas%20magnitudes%20vectoriales.

 

Comentarios